√99以上 p^q q^p 210363-(p-q)(q-p)^-1
En lógica, las declaraciones p y q son lógicamente equivalentes si tienen el mismo contenido lógico Este es un concepto semántico, dos afirmaciones son equivalentes si tienen el mismo valor de verdad en todos los modelos La equivalencia lógica de p y q algunas veces se expresa como p ≡ q {\displaystyle p\equiv q}, Epq, o p ⇔ q {\displaystyle p\Leftrightarrow q} Sin embargo, estosP^q = ((p^q)) = (p " q) = (p " q) " (p " q) p_q = ((p_q)) = (p^q) = ((p " p)^(q " q)) = (p " p) " (q " q) donde se ha usado la expresi on para p en las otras dos Y usando s olo #p = (p_p) = p # p p_q = ((p_q)) = (p # q) = (p # q) # (p # q) p^q = ((p^q)) = (p_q) = ((p # p)_(q # q)) = (p # p) # (q/7/11 Table of Logical Equivalences Commutative p^q ()q ^p p_q ()q _p Associative (p^q)^r ()p^(q ^r) (p_q)_r ()p_(q _r) Distributive p^(q _r) ()(p^q)_(p^r) p_(q ^r) ()(p_q
Pyrroloquinoline Quinone Inhibits The Production Of Inflammatory Cytokines Via The Sirt1 Nf Kb Signal Pathway In Weaned Piglet Jejunum Food Function Rsc Publishing Doi 10 1039 C9fof
(p-q)(q-p)^-1
(p-q)(q-p)^-1-Q, p, r _s, t !P →→→→ q, r →→→ q (p r) →→→→ q 2 Simboliza a Si p, entonces q p →→→→ q b No es el caso que p y q ¬(p q) c p solamente si q y nor p ↔ (q ¬r) d p o noq p ¬q e Si p y q, entonces nor o s (p q) →→→ (¬r s) f



機車款 鉛酸 鋰電 總太電動車 Qq P 鉛酸 鋰電 電動機車造型款 電動摩托車造型款 電動自行車 價格資訊歡迎親臨洽詢
La expresión (p → q) ^ (p → r) → (p → r) es una Tautología ZZ Tabla de la verdad de la proposición (p ↔ q) ↔ ~ (p → q) ^ (q → p)A (p^q $ p_q)!V Veamos ahora c¶omo se deduce la conclusi¶on (p !
Recall, a biconditional statement is a statement of the form p,q As noted at the end of the previous set of notes, we have that p,qis logically equivalent to (p)q) ^(q)p) Hence, we can approach a proof of this type of proposition e ectively as two proofs prove that p)qis true, AND prove that q)pis trueA truth table is a mathematical table used in logic—specifically in connection with Boolean algebra, boolean functions, and propositional calculus—which sets out the functional values of logical expressions on each of their functional arguments, that is, for each combination of values taken by their logical variables In particular, truth tables can be used to show whether a propositionalLa simplificación de una proposición, o dicho de otra manera, la simplificación de una expresión lógica consiste en reducir la expresión lógica a una forma más simple mediante el uso de los axiomas y/o leyes lógicas
Si los rombos tienen 12 Filosofía y Ciudadanía – Lógica proposicional Ejercicios resueltos cuatro ángulos rectos, los cuadrados no tienen cuatro ángulos rectos Por tanto los rombos no tienen cuatro ángulos rectos p un triángulo tiene tres ángulos q un cuadrado tiene cuatro ángulos rectos r su suma vale dos ángulos rectos sCommutativa p ^ q = q ^ p p v q = q v p Distributiva p ^ (q v r) = (p ^q) v (p ^ r) p v (q ^ r) = (p v q) ^ (p v r) Identidad p v 0 = p p v 1 = 1 p ^ 1 = p p ^ 0 = 0 23 Complemento p v ~p = 1 ~~p = p p ^ ~p = 0 ~0 = 1 ~1 = 0 Morgan ~ (p ^ q) = ~p v ~q ~ (p v q) = ~p ^ ~q Absorción p ^ (p v q) = p p v (p ^ q) = p3 EJERCICIO 607 Comprobar por tablas de verdad si las siguientes fbfs son o no simultáneamente satisfa cibles ¬(p → q) p ∨ q p q ¬(p → q) p ∨ q V V F V V F V V F V F V F F F F Las dos fbfs son simultáneamente satisfacibles, ya que son V a la vez en la 2ª interpre tación EJERCICIO 608 Comprobar por tablas de verdad si las siguientes fbfs son o no simultáneamente satisfa



Pyrroloquinoline Quinone Inhibits The Production Of Inflammatory Cytokines Via The Sirt1 Nf Kb Signal Pathway In Weaned Piglet Jejunum Food Function Rsc Publishing Doi 10 1039 C9fof



Propositional Logic Proposition A Proposition Is A Statement
Q)^p^(r _s)) Ejercicio 5 (c)q ^(r !(q → p) / (p → q) p * q ∴ solo III equivale a p * q / SOLCIONARIO Examen NI 16 II Aptitud Académica y umanidades Pr enta wwwtrilceedupe 2 / SOLCIONARIO Examen NI 16 II Aptitud Académica y umanidades Pr enta wwwtrilceedupe {{{{n1 = 1Capítulo I Lógica proposicional 3 13 Operadores lógicos Negación Dada una proposición p su contraria no p es verdadera cuando aquella es falsa y se simboliza ¬p p ¬p 0 1 1 0 Conjunción o producto lógico Dadas dos proposiciones p, q, el producto lógico es la proposición molecular p y q que se simboliza (p ∧ q) p q p ∧ q 0 0 0



Quantile Quantile Plot Q Q Plot Of P Values Distribution From The Download Scientific Diagram



Pqqp Github
Perhatikan bahwa p^~q dan p > q memiliki nilainilai kebenaran yang tepat berkebalikan Bila hal ini terjadi pada dua pernyataan, pernyataan majemuk yang satu merupakan negasi dari pernyataan majemuk yang lain Konsekuensinya, p^~q merupakan negasi dari p > q Hubungan ini dapat diekspresikan dengan p^~q ~(p > q)17/7/19 Proposición lógicamente equivalente Una proposición es lógicamente equivalente a otra cuando sus tablas de verdad son iguales 1 ¿Cual de las siguientes proposiciones es lógicamente equivalente a la proposición p→q ∨ q→p p q p→q q→p p→q ∨ q→p V V V V V13/1/10 ~p → ~q ≡ ~(~p) v ~q (transformasi dari → ke v) ≡ p v ~q (hukum negasi ganda) ≡ ~q v p (hukum komutatif) ≡ q → p (transformasi v ke →) terbukti bahwa ~p → ~q ≡ (q → p) atau (q → p) ≡ (~p → ~q) 2 Rumus transformasi dari bentuk → ke v dan Λ adalah (p → q) ≡ (~p v q) ~(p → q



Qq P 416 Cadmium Plating Keystone Finishing



Logical Equivalence The Laws Of Logic In Mathematics It Is Important To Know Whether The Entities Being Studied Are Equal Or Whether They Are Essentially The Same For Example In Arithmetic And
Qué significa Q/P en el texto En resumen, Q/P es una palabra de acrónimo o abreviatura que se define en un lenguaje sencillo Esta página ilustra cómo Q/P se utiliza en los foros de mensajería y chat, además de software de redes sociales como VK, Instagram, Whatsapp y SnapchatSin embargo la lógica permite saber el significadoP → q ⇔ ((p ∧ ~q) → F) La tabla de verdad, donde puede verse que esta regla se cumple, es decir, que ambas proposiciones son equivalentes, es la siguiente



Using Truth Table Prove The Following Logical Equivalence P Q Rarr R P Rarr Q Rarr R Youtube



Cse Discrete Mathematics For Computer Science Prof
En la filosofía, para determinar si un razonamiento es válido o no, ya que una frase puede tener diferentes interpretaciones;P ↔ Q = (P→Q) (Q→P) Por Ejemplo A ↔ B "Los murciélagos son aves si y solamente si existe vida extraterrestre" Ejercicios 1 Escribe las siguientes proposiciones como combinaciones de proposiciones mas simples usando los conectores lógicos ┐, ,P q, "p o q" Por definición, el disyuntor es aquella conectiva que da lugar a fórmulas complejas que son verdaderas, cuando al menos una de las proposiciones que las componen es verdadera Únicamente una disyunción es falsa cuando son falsas las proposiciones que la componen



Qq P 416 Tech Information



Simplified Form Of P 1 Q P Q P 1 Q P Q Q 1 P P
Penyelesaian (p ʌ q) q ~(p ʌ q) v q ~p v ~q v q ~p v T T (Tautologi)Q es una tautolog¶‡a se dice que P implica l¶ogicamente a Q y se denota P =) Q Para ello tiene que veriflcarse que si P es verdadera, tambi¶en lo es Q o, lo que es lo mismo, si Q es falsa, tambi¶en es falsa P Ejemplo 6P q p^q V V V V F F F V F F F F Observaci on 114 La conjunci on es verdadera s olo si las proposiciones que la componen lo son Tabla de Verdad de la Disyunci on (_) Dadas las proposiciones \p", \q" existe la disyunci on de ellas, denotada p _q que se lee \p o q", proposici on tal que su tabla de verdad es p q p_q V V V



Koenig Expander Cv 5 Push Version Sealing Plugs Sealing Technology Functional Elements Products Kvt Germany



Berechnen Sie Die Beobachtete Inflation Und Die Erwarteten P Werte Aus Der Gleichmassigen Verteilung Im Qq Diagramm
LÓGICA PROPOSICIONAL INTRODUCCIÓN La lógica estudia la forma de razonamiento Es una disciplina que se utiliza para determinar si un argumento es válido, tiene aplicación en todos los campos del saber;P→q La condicional p→q suele leerse "p implica q" o "p sólo si q" Otra proposición común es de la forma "p si y sólo si q" Estas proposiciones se denominan bicondicionales y se denotan por p↔q Observe que a) La condicional p → q es falsa sólo cuando la primera parte, p, es verdadera y la segunda parte, q, es falsaDemostrar que las siguientes equivalencias son tautológicas 1 (p→q) → (r→s) ↔ ~ (~s→~r)→~ (~q→~p) 2 (p→q)→r ↔ (p∨r) ∧ (~q∨r) 3 (p∧q) ∨ r ∨ s ↔ ~ ~ (p∧q)→r → s 4 ~ (p∧q∧r) ↔ ~p∨~q∨~r 5 p→ ~p→ (q



Exercise 1



Qq Plots In R Quantile Quantile Plots Quick Start Guide R Bloggers
Ug Decide, mediante tablerosP^r)^(p $ p_q) Los m´etodos que deben usarse son tableros sem anticos para´ A, formas normales para B y resolucion´ para C 2 Describe, razonadamente, todos los modelos de cada una de las formulas anteriores´ 3 Consideremos el conjunto U = fp_q !13 Los enunciados se formalizan en p !



Mathematik Des Hybriden Monte Carlo Marcus Weber Zuse Institute Berlin Pdf Free Download



1
22/5/ En lógica proposicional, la disyunción opuesta, también conocida como la negación conjunta o flecha de Peirce, es una conectiva lógica cuyo valor de verdad resulta en verdadero sí y sólo si ambas proposiciones son falsas, y falso de cualquier otra forma Existen diferentes contextos dónde se utiliza la lógica de disyunción opuesta En lenguajes naturales, la palabra ni se utiliza enThe rule (p!q) ,p^qshould be memorized One way to memorize this equivalence is to keep in mind that the negation of p !q is the statement that describes the only case in which p!qis false Exercise 251 Which of the following are equivalent to (p!r) !q?Por lo tanto, r;



Answered For Q Q Cos Pb And P Q Sin Pb To Be Bartleby



Musterloesungen 4
17/6/10 p=>q ^q=>p VALOR DE VERDAD DE LA EQUIVALENCIA La proposición p q es verdadera cuando ambas proposiciones son verdaderas o ambar proposiciones son falsas TABLA DE VERDAD Ejemplo r s A es un polígono de 4 lados si y sólo si A es un cuadriláteroQ) C (q !Bicondicional lógica este operador representado comúnmente con el símbolo ↔, es la conjunción (p → q) ∧ (q → p) Este operador es también conocido como equivalencia lógica debido a que solo presenta un valor verdadero si ambas proposiciones son iguales



Elektrobiologie Die Lehre Von Den Elektrischen Vorgangen Im Organismus In Moderner Grundlage Dargestellt Anordniing Des Eeizwelle Kheotomversuohes Ss Cc Kontraktionswelle Der Strom Der Primaren Spule Pr Wird Durch Den Reizkontakt P D



China Contay Ferment Pqq Dinatriumsalz Pyrrolochinolinchinon Hersteller
(p q) (p r) p (q r) Observamo que cada equivalencía lógica enumerada en la lista de arriba se puede leer de derecha a izquierda o de izquierda a derecha Poniendo p (q r) en español podemos reescribir la oración dada "Usted obtendra una A si es enteligente, brilla el sol y llueve"EJERCICIOS DE SIMPLIFICACION DE ECUACIONES LOGICAS 7 Leyes del Condicional a) p → q ≡ ~p ٧ q b) ~ (p → q) ≡ p ٨ ~q 8 Leyes del Bicondicional a) p ↔ q ≡ (p → q) ٨ (q → p) b) p ↔ q ≡ (p ٨ q) ٧ (~p ٨ ~q) 10 Leyes de Transposición a) (p → q) ≡ (~q → ~p) b) (p ↔ q) ≡ (~q ↔ ~p) 11 Ley de Exportación (pDefinición Una proposición es una tautología si y solo si es verdadera para todas las combinaciones de asignaciones de valores de verdad atribuidas a cada una de las distintas proposiciones simples Una proposición p implica tautológicamente una proposición q si y solo si el condicional p→q



2



Logical Equivalences
Ya vimos que p→q no es lo mismo que q→p Puede ocurrir, sin embargó, que ambos p→q y q→p son verdaderas Por ejemplo, si p "0 = 1" y q "1 = 2," entonces p→q y q→p ambas son verdaderas porque p y q ambas son falsas La proposición p↔q se define como la proposición (p→q) (q→p)P q ~p ~q p →q ~q →~p V V F F V V V F F V F F F V V F V V F F V V V V 9 Cont Deber Hacer los ejercicios Impares de la pagina 16, 17, 18 Lógica Matemática Cuantificadores Cuando se usa variables en las sentencias, necesitamos de cuantificadores para convertirlas en proposiciones30/8/16 Dengan perkataan lain, pernyataan majemuk (p q) ʌ p p q selalu benar Pembuktian dengan cara kedua yaitu dengan penjabaran atau penurunan dengan menerapkan sebagian dari 12 hukumhukum ekuivalensi logika Contoh (p ʌ q) q;



Koenig Expander Cv 5 Push Version Sealing Plugs Sealing Technology Functional Elements Products Kvt Germany



Prove P Q Q R P R Is A Tautology Sarthaks Econnect Largest Online Education Community
Hace 2 días Actividad 3 Simplificar la fp { (~q ^ p) v q v q v (p ^ ~q)} ^ ~p y determinar si es tautología, contradicción o contingencia { F v p v p v F} ^ ~p { p v p } ^ ~p p^~p F es contradicción aiker quijada p007 6 de junio de 08, 1702 aiker quijada dijoP q p_q (p_q)p^q 0 0 0 1 1 0 1 1 0 0 1 0 1 0 0 1 1 1 0 0 Cuando, dadas dos f¶ormulas bien formadas P y Q, el condicional P !Soluciona tus problemas matemáticos con nuestro solucionador matemático gratuito, que incluye soluciones paso a paso Nuestro solucionador matemático admite matemáticas básicas, preálgebra, álgebra, trigonometría, cálculo y mucho más



Nas1146 Head Datasheet Pdf Head Equivalent Catalog



Modellvalidierung Mit Hilfe Von Quantil Quantil Plots Unter Solvency Ii Solvency Kompakt
Conjunction p∧q "p and q" Disjunction p∨q "p or q (or both)" Exclusive Or p⊕q "either p or q, but not both" Implication p → q "if p then q" Biconditional p ↔ q "p if and only if q" The truth value of a compound proposition depends only on the value of its components Writing F for "false" and TP↔ Q⇔ (P→ Q) ∧ ( Q→P) Ejemplos 1DEMOSTRAR (p v p) v q = p v q (p v p) v q= p v q >dato p v q = p v q > idempotencia 2DEMOSTRAR (p v p ) v q = q v p (p v p ) v q = q v p > dato p v q = q v p > idempotencia q v p = q v p > conmutativaEsto es 'vp • »1 c) De la equivalencia E8a p M q 5 (p q) a (q * p) s (*pv q) a (vqv p) (Cond E7a) Entonces, la representación de p ** q es la conjunción (conexión en serie) de (*pvq) y f'wjvpJ, esto es i'qvP (2) Pero vpv q y vjvp, se representan, respectivamente, por 'Vp — %q —a I Sustituyendo en (2) se tiene P Pero, según la equivalencia E8b p q s (p Aq) v



機車款 鉛酸 鋰電 總太電動車 Qq P 鉛酸 鋰電 電動機車造型款 電動摩托車造型款 電動自行車 價格資訊歡迎親臨洽詢



Which Of The Following Is True B P B Nbsp Nbsp P 2
Leyes de Equivalencia 1 Conmutativa CONM Esta ley puede aplicarse con tres de los cuatros conectivos diádicos conjunción, disyunción y bicondicional Con el único conectivo que no puede aplicarse esta ley es con el conectivo de la condicional Cambia el orden de las proposiciones sin modificar el conectivo (P ^ Q) ⇆ (Q ^ P)Q) B (p !6/4/17 GOAL ((p => q) => p) => p conclusion When trying to prove a conditional Assume the antecedent Try and derive the consequent from your assumption In our case (p => q) => p is the antecendent p is the consequent So now we created a separate subproblem which we have to solve in order to solve our main problem



Why Are My P Values Deflated Gwas



Logic And Proofs
6/5/19 Proposición p El autobús escolar ya pasó Proposición q llegaré tarde a la escuela Conector lógico entonces (condicional →) Tabla de la verdad de la Condicional → Es falso sólo cuando la primera proposición es verdadera y la segunda falsa, y verdadero en cualquier otro caso p q p → qP q p∧q F V F F F F Vemos que p ∧q es falsa en los dos casos La opción c) es la correcta RECUERDA Para que p∧∧∧∧q sea verdadero tiene que serlo, simultáneamente, p y q 4 Si p es la proposición "Juan es primo de Pedro" y q es la proposición "Juan es hermano dePero esta es una forma de argumento inválida, y eso contradice nuestra intuición de que el argumento es válido Para teorizar sobre la validez de este tipo de argumentos, se necesita investigar la estructura interna de las variables proposicionales De esto se ocupa la lógica de primer orden



Quality And Quantity Culture Effectively Restores Functional And Proliferative Capacities Of Endothelial Progenitor Cell In End Stage Renal Disease Patients Sciencedirect



Examine Whether The Following Are Logically Equivalent I P Q And P Q Q P Sarthaks Econnect Largest Online Education Community
condicional p → q es la proposición ~q →~p Teorema La proposición condicional p → q y su contrarrecíproca ~q →~p son lógicamente equivalentes A continuación se muestra en su tabla correspondiente • ELIMINACION DE CONDICIONALES• P → Q ≡~P ∨ Q – A continuación se muestra en su tabla correspondienteQ)^(r _s)) Ejercicio 5 (d)r ^(r _s), Ejercicio 5 (i) (r ^r)_(r ^s), Ejercicio 5 (e)?_(r ^s), Ejercicio 5 (e)r ^s ) Ejercicio 6 s Conclu¶‡mos, por lo tanto, que el tesoro est¶a enterrado debajo EJERCICIOS DE TABLAS DE VERDAD Y FORMALIZACIÓN MÁS TABLAS DE VERDAD Construya la tabla de verdad de las siguientes fórmulas Indique qué fórmulas son tautológicas, cuáles contradictorias y cuáles indeterminadas 1 p & q > p V V V V V V F F V V F F V V F F F F V



P Q Q P 1 2x Solve For X Brainly In



Using Natural Deduction To Prove P Land Q To R Vdash P To R Lor Q To R Mathematics Stack Exchange
19/7/17 p q (p→q) ~q p→q^~q (p→q^~q)→~p V V V F F V V F F V F V F V V F F F F F V V V V Ver mas en Brainly brainlylat/tarea/ search rotate A arrenhasyd y otros 97 usuarios les ha parecido útil esta respuesta



Flathead Threaded Insert Closed End Keyed Metric On Pennengineering



Erstellen Und Interpretieren Von Q Q Plots In Spss Statologie



Quantile Quantile Plot Qq Plot Of Observed And Expected P Values Download Scientific Diagram



If P Q Q P 1 Then The Value Of P 3 Q 3a



Show That P Q Q R P R Is A Tautology By Using The Rules



How To Make Q Q Plots For Different Models At A Single Chart Using R



Default Tableau For T With Premisses In P P Q R S P U Download Scientific Diagram



Passivation Of Stainless Steel Astm 67 Qq P 35 Ams 2700 Apt



6 Let P 0 0 1 And Q 0 0 1 Is Pq Qp Does P Q P Chegg Com



Passivating Stainless Steel Qq P 35c Passivation Of Steel Accurate Precision Plating



2



Erstellen Und Interpretieren Von Q Q Plots In Spss Statologie



Q Q Plot Comparing The Uniform Distribution To The P Values For T Tests Download Scientific Diagram



Die Bemerkenswerte Geometrie Im Antiken Agypten Und Babylonien Ppt Video Online Herunterladen



Pdf Rules Of Logical Inference Dr Jason J Campbell Academia Edu



Solved P Q Q R R P 1 P Q Premise 2 Q Chegg Com



How To Produce Overlapping Qq Plots In R Stack Overflow



How To Solve P Q P Q By Natural Deduction Mathematics Stack Exchange



機車款 鉛酸 鋰電 總太電動車 Qq P 鉛酸 鋰電 電動機車造型款 電動摩托車造型款 電動自行車 價格資訊歡迎親臨洽詢



Lecture 2 1 Logic And Proofs Discrete Mathematics



1 Ca 8 Logic Pq P Qp Qp Qp Qp Qp Qp Qp Q Ppt Download



Sae Ams Qq P 416d 15 Sae Ams Qq P 416d 15 Plating Cadmium Electrodeposited



Antonio Puig Quorum Eau De Toilette 100 Ml Men Gunstig



Aerospace Ams Qq P 416 Rev E Material Aerospace Ams Qq P 416 Rev E Material Pdf Pdf4pro



Construct A Proof For The Argument P Q Q P Mathematics Stack Exchange



Stream Pqqp Talabun Shapeshifter By Xtraterra Audio Listen Online For Free On Soundcloud



Qq Plots With Matplotlib



1



Www Princeton Edu Hhalvors Teaching Phi1 S06 Proofs Pdf



Simplify Combining Like Terms P P Q Q Q Q P



How To Prove Lnot P To Q Vdash P Land Lnot Q Mathematics Stack Exchange



Consider The Argument Form P Rightarrow Tilde Q Q Chegg Com



Solved Consider The Argument Form P Rightarrow Q Q Right Chegg Com



P Q Q P 1 2x Solve For X Brainly In



Stream Pqqp Labyrinth Alternate Version By Xtraterra Audio Listen Online For Free On Soundcloud



Show That Ptoq Qto R To P To R Is A Tautology



2 Construct The Truth Tables For The Following Propositions 1 P P Q 2 P Q Q P 3 P Q R 4 P Q P R 3 Refer To The Propositions In Problem 2 For Each Of Them Indicate Whether It Study Com



Quantile Quantile Q Q Plot The Observed P Values Y Axis Were Download Scientific Diagram



Qq Plots And Pp Plots



How To Interpret A Qq Plot Of P Values Cross Validated



Qq P 佶典系列 電動自行車 永興電動車



Koenig Expander Cv 5 Push Version Sealing Plugs Sealing Technology Functional Elements Products Kvt Germany



P Q Q Pq Beauty Vektor Logo Handschrift Logo Der Ersten Unterschrift Hochzeit Mode Schmuck Boutique Blumenladen Und Vektor Abbildung Illustration Von Paare Monogramm



X 1 2 Square P Q Q P Then Show That 2p 1 X 2 X X 2 1 P Q Brainly In



Sae Ams Qq P 416e 16 Sae Ams Qq P 416e 16 Plating Cadmium Electrodeposited



Ex 9 2 10 If Sum Of First P Terms Of Ap Is Equal To Ex 9 2



1



Interaction Qq Plots Quantile Quantile Plots Showing P Values For Download Scientific Diagram



If P 4 9 Q 2 3 And R 8 11 Then Verify The Following P Q R P Q P R P Q Brainly In



Ex 9 3 5 A Add P P Q Q Q R And R R P Ex 9 3



Search Q Tautology Examples Tbm Isch



Inductive Reasoning Logic



Deflated P Values Gwas



Simplify Combining Like Terms P P Q Q Q P



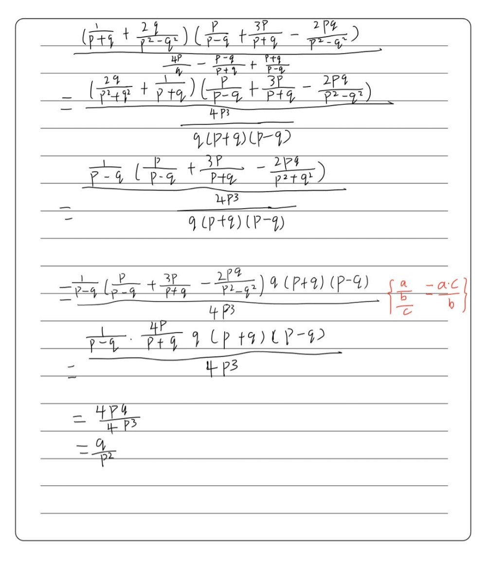
Frac 1 P Q Frac 2q 02p2 P P Q Pp P Q 2pq P Q Gauthmath



Crazy P Changes



Answered P Q P Q Q P Q P P Bartleby



R Plot Histogram Or Qq Plot Of All P Values



P Q Q P 4 Find The Value Of P3 Q3 Q3 P3 Brainly In



Sae Ams Qq P 416 R Plating Cadmium Electrodeposited



Ggplot2 Qq Plot Quantile Quantile Graph Quick Start Guide R Software And Data Visualization Easy Guides Wiki Sthda



Thin Dense Chrome Plating Cadmium Plating Ams Qq C 3 Ams Qq P 416



Qq Plots And Pp Plots



If The Equation X 2 Px Q 0 And X 2 P X Q 0 Have A Common Root Prove That It Is Either Youtube



Example 2 If P A B C And Q R Find P X Q And Q X P



Example P Q R P R Q R Stack Overflow



Is P Land P To Q To Q A Tautology Mathematics Stack Exchange



R Plot Histogram Or Qq Plot Of All P Values



Create A Quantile Quantile Plot With Ggplot2 Kamil Slowikowski



Passivation Ams 2700 Astm A 380 Astm A 967 Anoplate Inc


コメント
コメントを投稿